Kapitel

Kavitation i pumpar

Kavitation i pumpar är ett vanligt förekommande fenomen som kanske är den största orsaken till problem i installerade pumpar. Ordet kavitation är av latinskt ursprung och kan närmast översättas med ”hålrumsbildning”.

Kavitation uppstår då statiska trycket i vätskan någonstans lokalt inuti pumpen sjunker till vätskans ångbildningstryck. Delar av vätskan kommer då att förångas och ångblåsor att bildas. Dessa ångblåsor följer med vätskeströmmen och når längre in i pumpen, i områden med högre tryck än ångtrycket. Där kan mediet ej längre existera i ångform och ångblåsorna störtar samman, ”imploderar”. Vid varje implosion uppstår en kraftig tryckpuls. Då detta förlopp upprepas med hög frekvens ett stort antal gånger av ständigt nybildade ångblåsor kan mekaniska skador uppstå på materialet i pumpen. Därutöver försämras även pumpens hydrauliska prestanda med inträdande kavitation. Kavitation är därför ett i pumpsammanhang icke önskvärt fenomen och bör om möjligt undvikas.

1   Installation

Figur 3.32 Kavitationsmodell

 

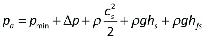
pmin = minsta tryck inuti pumpen (N/m²)

Δp = lokal trycksänkning (N/m²)

cs = strömningshastigheten vid sugstutsen (m/s)

hs = geodetisk sughöjd (m)

hfs = strömningsförluster i sugledningen (m vp)

pa = atmosfärstryck (N/m²)

 

Risken för kavitation är som störst där trycket i pumpen är som lägst. Lägsta trycket inuti pumpen återfinns på skovlarnas sugsidor ett stycke nedströms framkanterna (figur 3.32). Vid pumpens sugstuts i nivå med pumphjulets axel är trycket en viss kvantitet Δp större. I denna punkt, som ligger på geodetiska sughöjden hs över nedre vätskeytan, är strömningshastigheten cs. Bernoullis ekvation, tillämpad på strömningen genom sugröret lyder

ekvation 3_29

Ekv 3.29

eller

ekvation 3_30

Ekv 3.30

Det lägsta trycket i pumpen bestäms således dels av yttre faktorer som trycket på den nedre vätskeytan (oftast atmosfärstrycket) pa, geodetiska sughöjden hs och strömningsförlusterna i sugröret Δhfs, dels av faktorer, som sammanhänger med pumpens konstruktion. De senare utgöres av den lokala trycksänkningen Δp och strömningshastigheten vid sugstutsen cs. För att undvika kavitation gäller det att se till att pmin är större än vätskans ångbildningstryck på.